Elektrozaczepy - sposoby montażu, tryby pracy i funkcjonalności
Elektrozaczepy to urządzenia elektromechaniczne, które umożliwiają wygodne zarządzanie pracą drzwi, furtek i bram przy wykorzystaniu impulsów elektrycznych. Dzięki zastosowaniu elektrozaczepów możliwe jest przekształcenie niemal każdych drzwi w wejścia z kontrolą dostępu. W naszym kraju można spotkać je chociażby w drzwiach prowadzących na klatki schodowe w budynkach mieszkalnych wielorodzinnych takich jak bloki, apartamentowce, kamienice. W tego typu miejscach sterowanie pracą elektrozaczepów odbywa się najczęściej za pomocą domofonów, wideodomofonów i czytników zbliżeniowych.
Spis treści
1. Na co zwracać uwagę przy wyborze elektrozaczepu?
2. Czym różnią się elektrozaczepy nawierzchniowe od wpuszczanych?
3. Dlaczego większość osób wybiera elektrozaczepy symetryczne?
4. W jakich trybach mogą pracować elektrozaczepy?
5. Dodatkowe funkcjonalności elektrozaczepów.
6. Systemy TOP i DST opracowane przez firmę Dorcas.
Na co zwracać uwagę przy wyborze elektrozaczepu?
Elektrozaczepy mogą być zasilanie prądem stałym (DC) lub prądem zmiennym (AC). Jest to uzależnione od ich budowy, a przede wszystkim od rodzaju cewki, jaka została zamontowana w danym modelu elektrozaczepu. Z reguły urządzenia zasilane prądem zmiennym (np. domofony) pracują głośniej niż urządzenia zasilane prądem stałym (np. urządzenia kontroli dostępu). Przy wyborze elektrozaczepu oprócz rodzaju prądu (stały / zmienny) należy także zwracać uwagę na wartość napięcia. W przypadku niskich wartości napięcia, jeden zasilacz będzie w stanie obsłużyć większą ilość elektrozaczepów. Kolejnym parametrem na który należy zwracać uwagę jest preload, czyli dopuszczalna siła obciążenia zapadki. W niektórych przypadkach konieczne jest zamówienie elektrozaczepu posiadającego wyższą wartość parametru preload. Przykładem takiej sytuacji są elektrozaczepy stosowane w drzwiach akustycznych posiadających dodatkowe uszczelnienia lub elektrozaczepy stosowane w drzwiach, na których zastosowane zostały uszczelki obwiedniowe.
Czym różnią się elektrozaczepy nawierzchniowe od wpuszczanych?
Przyjmując jako kryterium podziału sposób montażu możemy wyróżnić elektrozaczepy nawierzchniowe i elektrozaczepy wpuszczane. Elektrozaczepy nawierzchniowe montowane są na ościeżnicy drzwi, gdy warunki w miejscu instalacji uniemożliwiają montaż wpuszczany kasety z mechanizmem i blachy zaczepowej elektrozaczepu. Z kolei elektrozaczepy wpuszczane instalowane są wewnątrz ościeżnicy, dzięki czemu znacznie lepiej pasują do nowoczesnych drzwi, gdyż pozwalają zachować ich atrakcyjny design i estetykę. Popularność elektrozaczepów wpuszczanych w Polsce jest znacznie większa niż elektrozaczepów nawierzchniowych.

Dlaczego większość osób wybiera elektrozaczepy symetryczne?
Elektrozaczepy symetryczne posiadają zapadkę umieszczoną na środku obudowy i są uniwersalne co oznacza, że można stosować je zarówno w drzwiach lewych (DIN L), jak i w drzwiach prawych (DIN R), zgodnie z niemiecką normą DIN 107. Z kolei w przypadku elektrozaczepów asymetrycznych należy wziąć pod uwagę kierunek otwierania drzwi przy wyborze danego modelu elektrozaczepu. Zarówno w Polsce, jak i w Europie z każdym rokiem można zaobserwować tendencję polegającą na stopniowym odchodzeniu od elektrozaczepów asymetrycznych. Oferta większości producentów obejmuje obecnie głównie elektrozaczepy symetryczne.

W jakich trybach mogą pracować elektrozaczepy?
Elektrozaczepy mogą pracować w kilku podstawowych trybach: standardowym (Normalnie Zamkniętym / Normally Closed / N.C.), rewersyjnym (Normalnie Otwartym / Normally Open / N.O.), automatycznym (A), automatycznym z ruchomą częścią tzw. najazdem (Ab), automatycznym niewidocznym (Aa) lub automatycznym tymczasowym (At).
W trybie standardowym (Normalnie Zamkniętym / Normally Closed) drzwi pozostają stale zamknięte, a ich odblokowanie następuje w momencie podania impulsu elektrycznego. Z kolei w trybie rewersyjnym (Normalnie Otwartym / Normally Open) drzwi zostają zablokowane w momencie podania impulsu elektrycznego, a w przypadku braku zasilania drzwi pozostają otwarte zapewniając możliwość wejścia lub wyjścia każdej osobie. Z racji sposobu działania elektrozaczepy rewersyjne są stosowane na drzwiach, znajdujących się na drogach ewakuacyjnych.
Tryb automatyczny (A)
W trybie automatycznym (określanym także mianem pamięci lub opóźnienia otwarcia), drzwi pozostają odblokowane do momentu aż ktoś ich nie otworzy. Dopiero po otwarciu drzwi, a następnie ich zamknięciu, następuje ponowne zablokowanie skrzydła.
Funkcje blokowania i odblokowywania drzwi realizuje niewielki okrągły element tzw. pin (zaznaczony na zamieszczonej obok grafice okrągłym kółkiem).
Istnieje kilka trybów automatycznych, dzięki czemu można łatwo znaleźć elektrozaczep dopasowany do konkretnych wymagań w miejscu instalacji.

Tryb automatyczny z ruchomą częścią (Ab)
W przypadku trybu automatycznego z ruchomą częścią tzw. najazdem (Ab), elektrozaczep jest wyposażony w ruchomą część, wysuwaną w czasie pracy urządzenia. Tego rodzaju rozwiązanie wyklucza możliwość zablokowania zaczepu zamka, współpracującego z elektrozaczepem.
 - grafika.webp)
.webp)
Tryb automatyczny niewidoczny (Aa)
W trybie automatycznym niewidocznym (Aa) pamięć elektrozaczepu jest umieszczona wewnątrz obudowy urządzenia. W tym trybie w celu zapewnienia prawidłowej pracy elektrozaczepu, rekomendowane jest stosowanie krótkiego impulsu elektrycznego.
 - grafika.webp)
.webp)
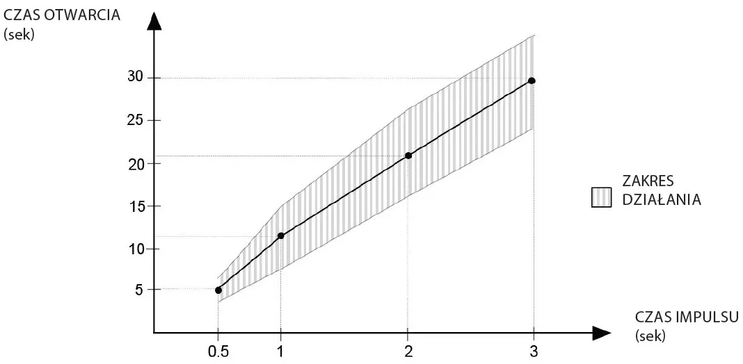
Tryb automatyczny tymczasowy (At)
Bardzo ciekawym trybem jest tryb automatyczny tymczasowy (At), w którym możliwe jest ustawienie funkcji automatycznej w określonym przedziale czasu.
W momencie gdy elektrozaczep otrzymuje impuls elektryczny, drzwi zostają odblokowane na określony czas proporcjonalny do czasu działania impulsu (przykładowo impuls trwający 1 sekundę odblokowuje drzwi na 11 sekund / impuls trwający 2 sekundy odblokowuje drzwi na 22 sekund / impuls trwający 3 sekundy odblokowuje drzwi na 33 sekund itd.).
Należy jednak zwrócić uwagę, że w przypadku tego trybu, czas odblokowania zależy od temperatury otoczenia. W okresie jesiennym i zimowym, gdy temperatury powietrza są niskie, czas otwarcia przy podaniu danego impulsu skraca się mniej więcej o połowę.
 - grafika.webp)
Dodatkowe funkcjonalności elektrozaczepów
Elektrozaczepy mogą posiadać zaczep bez regulacji (tzw. monoblock) lub zaczep z regulacją (tzw. flex). Elektrozaczep w wersji monoblock nie oferuje możliwości regulacji zaczepu, ale jest on nieco mocniejszy niż elektrozaczepy z regulacją zaczepu. W elektrozaczepach flex istnieje możliwość regulacji zaczepu.

Kolejną interesującą grupą elektrozaczepów są modele z dźwignią odblokowującą (D), którą można ręcznie przestawić w tryb ciągłego odblokowania. Jednocześnie w każdym momencie, gdy pojawi się taka potrzeba można ponownie przestawić dźwignię i powrócić do pracy w trybie normalnym. Tego rodzaju funkcja sprawdza się idealnie w drzwiach wejściowych w obiektach użyteczności publicznej, w których drzwi muszą pozostawać otwarte przez większość czasu np. drzwi w budynkach z portiernią lub recepcją.

Dostępne na rynku elektrozaczepy mogą posiadać zapadkę radialną lub zapadkę nieradialną. W elektrozaczepach z zapadką radialną zaczep obraca się dookoła podstawy osi elektrozaczepu, pozwalając ograniczyć promień ruchu. Dzięki temu montaż takiego elektrozaczepu jest znacznie wygodniejszy, nie wymaga dodatkowego nacinania profilu w celu zapewnienia przestrzeni niezbędnej do prawidłowego poruszania się zaczepu w trakcie pracy elektrozaczepu.

Praktycznym rozwiązaniem są elektrozaczepy z monitoringiem położenia zapadki. W tego rodzaju elektrozaczepach znajduje się microswitch informujący o tym czy drzwi są otwarte czy zamknięte (standardowa wersja 305). Dodatkowo w trybie 325 mamy możliwość sprawdzenia czy elektrozaczep jest zablokowany czy odblokowany (informacja nie tylko o statusie drzwi, ale także o statusie zapadki). Elektrozaczepy z monitoringiem położenia zapadki w trybie 325 są rekomendowane do zastosowania w drzwiach znajdujących się na drogach ewakuacyjnych.
Systemy TOP i DST opracowane przez firmę Dorcas
Omawiając tryby pracy i funkcje elektrozaczepów warto wspomnieć o systemach TOP. Zostały one opracowane przez jednego z największych europejskich producentów elektrozaczepów – hiszpańską firmę Dorcas w celu ułatwienia wyślizgu zapadki elektrozaczepu i zapewnienia prowadzenia zaczepu zamka. Rozwiązanie to wyklucza konieczność nacinania profilu, jak ma to miejsce w przypadku standardowej instalacji. Oprócz uproszczonego i szybszego montażu, uzyskuje się również dzięki temu bardziej atrakcyjny efekt wizualny.

Poszczególne warianty różnią się od siebie budową, przede wszystkim ilością ramp (jedna w systemie TOP / dwie w systemach DOUBLE TOP i TOP 2). Elektrozaczepy z tymi systemami są odpowiednie do zastosowania wraz z zamkami wielopunktowymi, jednak nie mogą być stosowane z zamkami posiadającymi blokadę zaczepu zamka. Elektrozaczepy z systemem TOP 2 zostały opracowane głównie z myślą o zastosowaniu w stolarce PCV. Z kolei w przypadku modeli z systemem DOUBLE TOP, zaletą jest brak konieczności regulacji położenia zaczepu zamka.

Dzięki zastosowaniu rampy lub ramp, zaczep współpracującego z elektrozaczepem zamka po wyślizgnięciu, cofa się poza obrys zapadki elektrozaczepu. Należy zwrócić uwagę, że w tego rodzaju systemach, zaczep zamka ślizga się po ościeżnicy powodując zarysowania, dlatego konieczne jest zastosowanie odpowiedniej blachy czołowej elektrozaczepu, która pomoże zabezpieczyć ościeżnicę przed zarysowaniami. W ofercie NOVET do wyboru jest wiele modeli blach krótkich i długich o różnych kształtach i nacięciach, dostępnych w wielu wariantach wykończeń kolorystycznych. Wśród nich można z łatwością znaleźć blachę odpowiednią do danego rodzaju drzwi i konkretnego modelu elektrozaczepu.
System DST z przesuwnym elementem i dodatkową cewką
Innym ciekawym systemem opracowanym i opatentowanym przez markę Dorcas jest system DST z przesuwnym elementem i dodatkową cewką.


Technologia DST stanowi idealne rozwiązanie do drzwi z automatami drzwiowymi. Umożliwia mechaniczne otwarcie zarówno w przypadku elektrozaczepów pracujących w trybie normalnym, jak i rewersyjnym. Posiada dodatkowy system zapewniający ryglowanie w przypadku braku elektronicznej autoryzacji otwarcia.

Chcesz wiedzieć więcej?
Masz pytanie odnośnie elektrozaczepów?
Zapraszamy do skorzystania z formularza kontaktowego aby dowiedzieć się więcej.
Nasi specjaliści udzielą zwrotnej informacji na wskazany przez Państwa kontakt mailowy lub telefoniczny, najszybciej jak to możliwe.
